我国大陆核电机组及发电量预测情况(2024年版)
来源: 中核战略规划研究总院
发布日期:2024-02-02
截至2023年12月31日,我国[本文均指我国大陆核电数据,未包括中国台湾地区核电数据,下同]大陆投入商业运行的核电机组55台,总装机容量5703.334万千瓦[本文数据来源国际原子能机构、国家能源局、各省份政府与能源部门、中电联、中国核能行业协会和中核智库],仅次于美国的93台9583.5万千瓦和法国的56台6137万千瓦,核电机组数量和总装机容量继续位居全球第三位。根据核电机组建设进度,预计我国在运核电机组数量将在今年超过法国达到世界第二位。2023年,全国共有2台机组实现商业投运,分别为防城港3号机组和高温气冷堆核电站示范工程,总装机容量139.86万千瓦。2023年,我国投入商业运行的核电机组数量同比增长3.8%,装机容量同比增长2.51%。
截至2023年底,我国在建核电机组26台,总装机容量2974.66万千瓦,高于在建核电机组排名全球第二位的印度和排名第三位的土耳其,连续第17年位居全球第一位(印度在建8台核电机组总装机容量为602.8万千瓦,土耳其在建4台核电机组总装机容量为445.6万千瓦)。2023年,全国共有5台核电机组实现核岛浇筑第一罐混凝土(FCD),分别是三门4号机组、海阳4号机组、陆丰6号机组、廉江1号机组、徐大堡1号机组,总装机容量为621万千瓦。
2023年,我国核准10台核电机组。截至2023年底,我国在运、在建、已核准待建核电机组共有93台,总装机容量10143.794万千瓦,首次位居全球首位。我国核电机组分布在东部沿海8个省份25座核电站。8个沿海省份自北向南依次是辽宁、山东、江苏、浙江、福建、广东、广西、海南。其中,漳州、惠州、霞浦、三澳、徐大堡、廉江、金七门等7个核电站为新建核电站,目前尚未有建成投运的核电机组。各省份在运在建核电机组及装机容量情况如图1所示,各省份核能发电量占比情况如图2所示。

图1 我国大陆各省份在运在建核电机组情况(截至2023年12月31日)

图2 2023年我国大陆各省份核电发电量占比情况
2023年,我国核电机组累计发电量4333.7亿千瓦时,在电力结构中的占比4.86%。与燃煤发电相比,2023年我国核电发电量相当于减少燃烧标煤1.23亿吨,等效减少排放二氧化碳3.23亿吨、二氧化硫104.9万吨、氮氧化物91.3万吨。我国各类电源形式发电量、装机容量、利用小时数情况分别如图3、图4、图5所示。

图3 2023年我国大陆各类电源发电量占比情况

图4 我国大陆各类电源装机容量占比情况(截至2023年12月31日)

图5 2023年我国大陆各类电源利用小时数情况
2023年,法国多台核电机组因安全检查、检修、冷却水温差低等原因处于停运或低功率运行状态,预计2023年我国核能发电量将继续超过法国,连续4年位居全球第二位。综合考虑法国核电机组停运检修与退役计划情况、近几年法国核能发电量情况(2019年、2020年、2021年、2022年分别是3780亿、3350亿、3607亿、2821亿千瓦时)等因素,以及我国今年将新增340万千瓦的核电容量、“双碳”目标推进、能源结构转型等有利政策和规划因素,预计我国核能发电量将在未来几年内持续位居全球第二位。

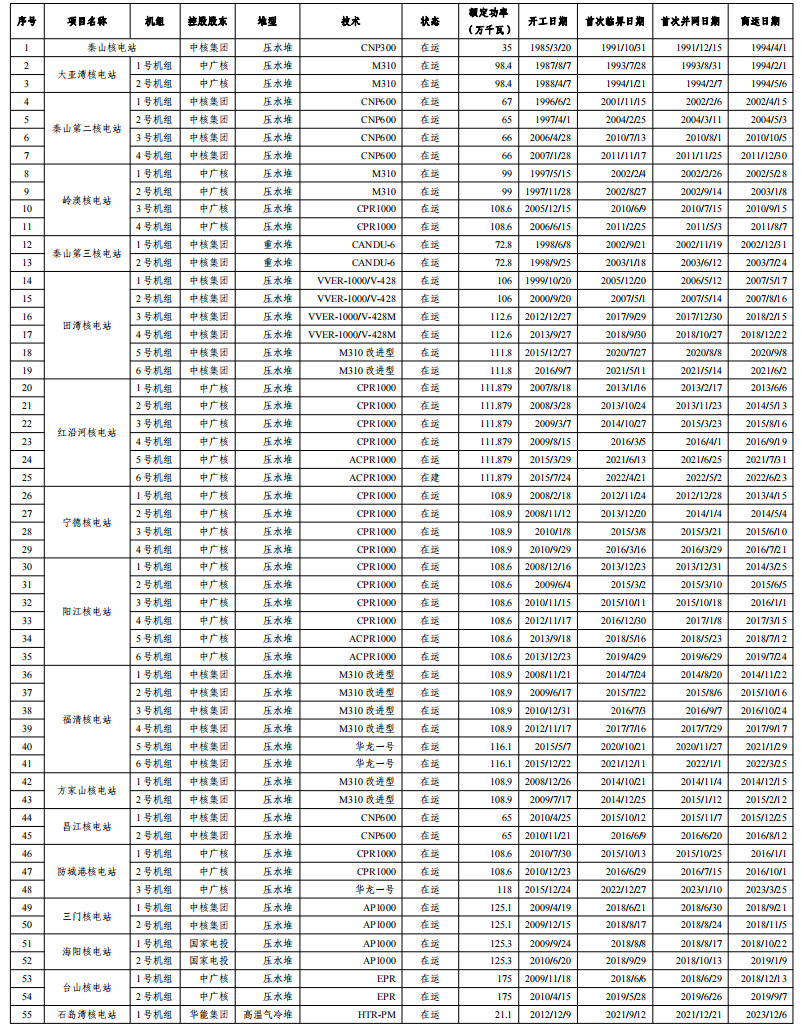
表1 我国大陆在运核电机组情况(截至2023年12月31日)

表2 我国大陆在建核电机组情况(截至2023年12月31日)
供稿 | 中核战略规划研究总院规划研究所
作者 | 李言瑞 胡健
网友评论请注意
遵守中华人民共和国有关法律、法规,尊重网上道德,承担一切因您的行为而直接或间接引起的法律责任。
中国核电信息网拥有管理留言的一切权利。
您在中国核电信息网留言板发表的言论,中国核电信息网有权在网站内转载或引用。
中国核电信息网留言板管理人员有权保留或删除其管辖留言中的任意内容。
如您对管理有意见请用意见反馈向网站管理员反映。